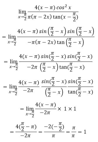
Home » limit » trigonometri » Soal Un Matematika Ipa 2015 No 30 Soal Un Matematika Ipa 2015 No 30 Add Comment limit, trigonometri Saturday, July 13, 2019 Soal UN Matematika IPA 2015 30. Nilai = ... A. -2 B. -1 C. 0 D. 1 E. 2 Jawaban : D merupakan bentuk limit 0/0 menggunakan sifat trigonometri : cos x = sin (Ï€/2 - x) cos2 = sin2(Ï€/2 - x) = sin (Ï€/2 - x) sin (Ï€/2 - x) tan (-x) = - tan x >>Soal UN Matematika IPA 2015 No 31 Tweet 0 Response to "Soal Un Matematika Ipa 2015 No 30" ← Newer Post Older Post → Home Subscribe to: Post Comments (Atom) Total Pageviews
0 Response to "Soal Un Matematika Ipa 2015 No 30"